

Вчера «Анонимный интернационал» выложил в открытый доступ фрагменты из переписки Андрея Демина, члена правления принадлежащей государству энергетической компании ПАО «Россети», члена совета директоров ПАО «ФСК» и ПАО «Моэск». Переписка вскрывает его нелегальные доходы и схему его владения офшорами.
В переписке Демина присутствует его декларация о доходах за 2014 год:
Из нее следует, что источника доходов у него всего два — корпорация (зарплата 33 млн и премия 3,6 млн) и доходы от вкладов и акций (5 млн). В общей сумме годовой доход Демина составляет около полумиллиона евро в год. И это, очевидно, самый высокий его заработок, — до 2013 года Демин работал на более низких менеджерских областях. Судя по официальной биографии, Демин бизнесом не занимался, а был только менеджером:
Но при такой биографии не очень понятно, как же он успел приобрести недвижимости на миллионы евро. В том числе семейство Деминых владеет квартирой в Хельсинки и двумя виллами в Финляндии (приобретенными за 1.750 000 и 3.100 000 евро)
Это ещё не все. В Риме он арендует квартиру за 90 000 евро в год:
А пока римская квартира готовится к заселению, Демины проводят лето в отеле в Барселоне за 61 000 евро в месяц:
Примерное состояние топ-менеджера можно оценить по некоторым другим расходам. Как следует из выложенных документов, на один только новогодний отдых в ОАЭ Дёмин потратил $122 тысячи, то есть около 8 млн рублей (без учета перелетов).
Он также позволял себе и множество других дорогих покупок, таких как эти два браслета за $11 тысяч:
The Insider удалось найти официальную декларацию Демина за 2013 год, которую обнародовала компания «Россети»:
Судя по декларации, в собственности у Демина нет никакого бизнеса, но если он просто успел его продать к 2013 году, то 169 млн рублей (пусть даже по старому курсу — это целых 4 млн евро) — как-то маловато, если учесть что в одной лишь Финляндии у Деминых недвижимости почти на 5 млн евро. И действительно, как следует из переписки, у Демина в офшорах есть крупные незадекларированные активы, оформленные на номинального собственника.
Из этого письма следует, что Демин является реальным собственником офшора «Зевалин Инвестменс Лимитед».
А из следующего письма мы видим, что номинальным собственником был Александр Зюба, юридический консультант Демина:
В чем смысл этого офшора? Кипрская компания ZEVALIN INVESTMENTS LIMITED до 2011 года была основным учредителем ООО «Межрегионсбыт» — крупного поставщика энергии для предприятий в разных регионах России. Официально Демин значился в ней лишь советником генерального директора по стратегическому развитию. В декларации этот источник его доходов не указан, как не указано и владение этим предприятием.
При этом доходы от офшоров номинальный владелец Зюба отправлял жене Демина:
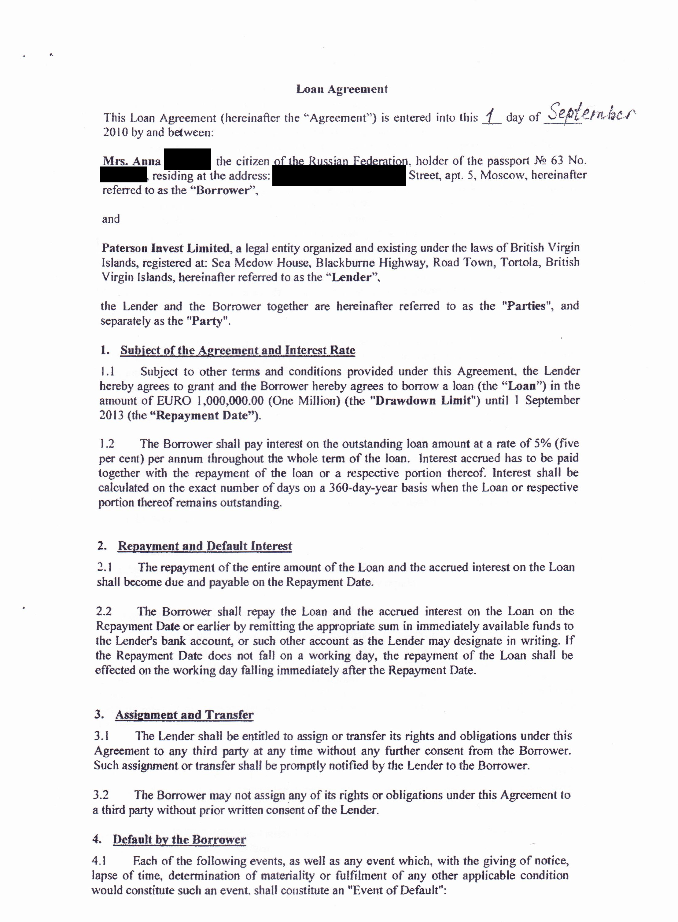
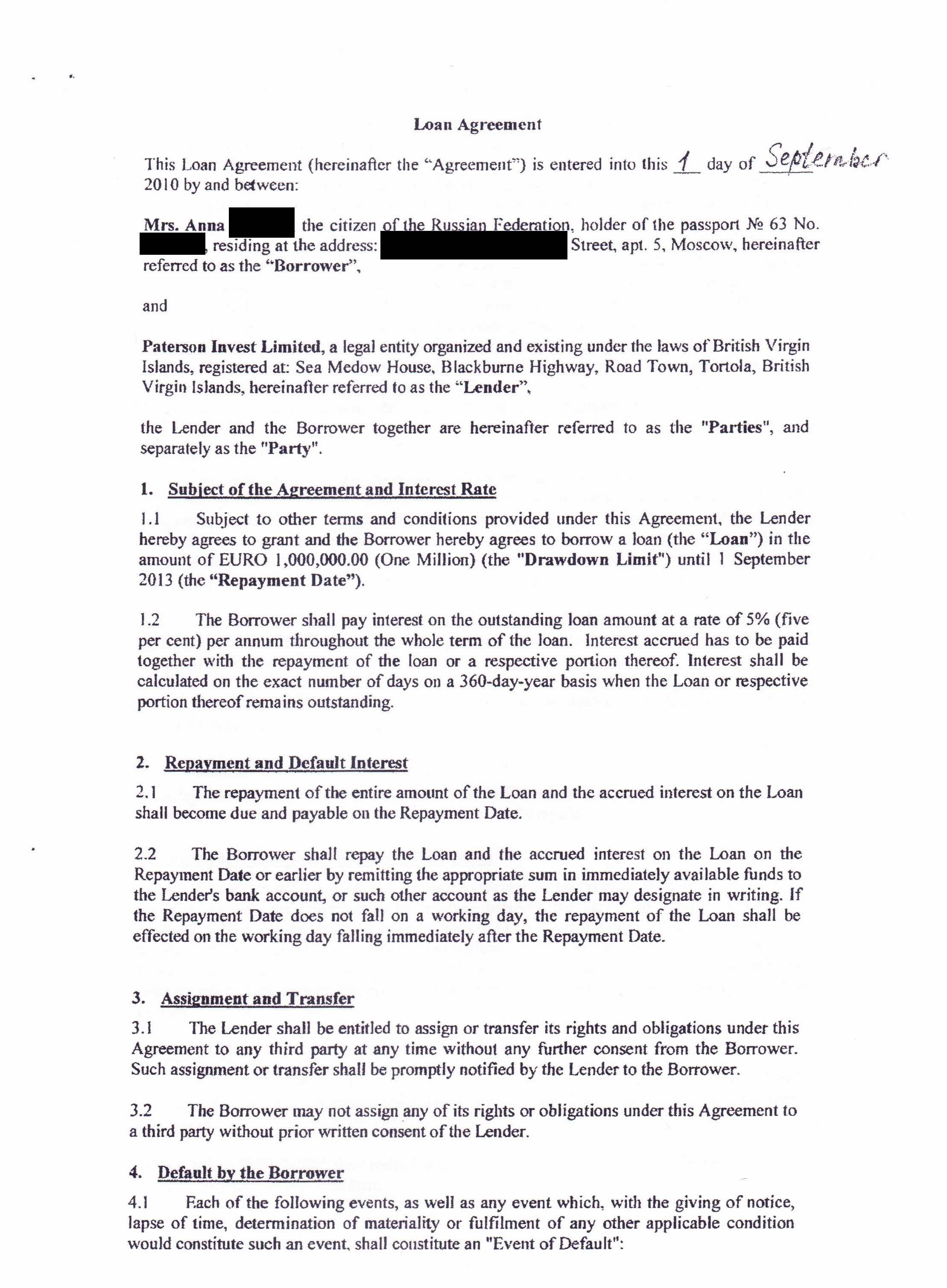
Приведенный выше офшор — не единственный. Демин, судя по документам, также владел Paterson Invest Limited. По всей видимости, этому офшору принадлежала сеть универсамов «Патерсон», так как домен paterson.ru ранее был зарегистрирован на Paterson Invest Ltd.
При этом Демин активно выводил деньги из России, переводя их на счет своей жены в Финляндии:
Причем для легализации источника средств это перечисление оформляется как заем частному лицу:
Как удалось выяснить The Insider, жена Демина и правда является резидентом Финляндии:
И даже владела там своей компанией:
Правда, неизвестно, вела ли эта компания реальную деятельность, либо была прикрытием для перевода средств. В 2011 году половину акций этой компании купил Демин за 1 евро.
Крупные поступления оформляются Деминым как продажа недвижимости, как это следует в выписке из одного из банков. 675 тысяч евро одной транзакцией — это больше его официальной годовой зарплаты в «Россети»:
Полный архив переписки Анонимный интернационал выставил на аукцион, выкупить лот можно за 20 тысяч долларов.
Текст подготовлен при участии российского отделения Transparency International



















